Физика
0
Специальный поиск
Физика
Теория вероятностей и мат. статистика
Гидравлика
Теор. механика
Прикладн. механика
Химия
Электроника
Витамины для ума
Главная
Поиск по сайту
Формулы
Все задачи
Помощь
Контакты
Билеты
Задача 25590
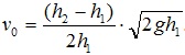
Первое тело свободно падает с высоты h
1
вертикально вниз (начальная скорость равна 0). Одновременно с высоты h
2
, большей h
1
, начинает движение второе тело в том же направлении. Какой должна быть начальная скорость v
0
второго тела, чтобы они упали одновременно?
Макет решения задачи 25590
Ответ:
Формат файла с решением:
doc
Цена:
42 руб.
В корзину
Добавить
Правовая информация