Физика
0
Специальный поиск
Физика
Теория вероятностей и мат. статистика
Гидравлика
Теор. механика
Прикладн. механика
Химия
Электроника
Витамины для ума
Главная
Поиск по сайту
Формулы
Все задачи
Помощь
Контакты
Билеты
Задача 25291
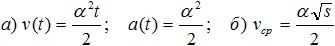
Частица движется в положительном направлении оси x так, что ее скорость меняется по закону v = α·√x, где α — положительная постоянная. Имея в виду, что в момент t = 0 она находилась в точке х = 0, найти:
а) зависимость от времени скорости и ускорения частицы;
б) среднюю скорость частицы за время, в течение которого она пройдет первые s метров пути.
Макет решения задачи 25291
Ответ:
Формат файла с решением:
doc
Цена:
56 руб.
В корзину
Добавить
Правовая информация