Физика
0
Специальный поиск
Физика
Теория вероятностей и мат. статистика
Гидравлика
Теор. механика
Прикладн. механика
Химия
Электроника
Витамины для ума
Главная
Поиск по сайту
Формулы
Все задачи
Помощь
Контакты
Билеты
Задача 14338
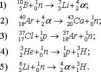
Запишите недостающие обозначения x в следующих ядерных реакциях:
Макет решения задачи 14338
Ответ:
Формат файла с решением:
doc
Цена:
17 руб.
В корзину
Добавить
Правовая информация