Физика
0
Специальный поиск
Физика
Теория вероятностей и мат. статистика
Гидравлика
Теор. механика
Прикладн. механика
Химия
Электроника
Витамины для ума
Главная
Поиск по сайту
Формулы
Все задачи
Помощь
Контакты
Билеты
Задача 13502
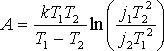
Определите работу выхода электронов из металла, если плотность тока насыщения двухэлектродной лампы при температуре Т
1
равна j
1
, а при температуре Т
2
равна j
2
.
Макет решения задачи 13502
Ответ:
Формат файла с решением:
doc
Цена:
28 руб.
В корзину
Добавить
Правовая информация