Физика
0
Специальный поиск
Физика
Теория вероятностей и мат. статистика
Гидравлика
Теор. механика
Прикладн. механика
Химия
Электроника
Витамины для ума
Главная
Поиск по сайту
Формулы
Все задачи
Помощь
Контакты
Билеты
Задача 13148
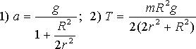
Для демонстрации законов сохранения применяется маятник Максвелла, представляющий собой массивный диск радиусом R и массой m, туго насаженный на ось радиусом r, которая подвешивается на двух предварительно намотанных на нее нитях. Когда маятник отпускают, то он совершает возвратно-поступательное движение в вертикальной плоскости при одновременном движении диска вокруг оси. Не учитывая силы сопротивления и момент инерции оси, определите: 1) ускорение поступательного движения маятника; 2) силу натяжения нити.
Макет решения задачи 13148
Ответ:
Формат файла с решением:
doc
Цена:
30 руб.
В корзину
Добавить
Правовая информация