Физика
0
Специальный поиск
Физика
Теория вероятностей и мат. статистика
Гидравлика
Теор. механика
Прикладн. механика
Химия
Электроника
Витамины для ума
Главная
Поиск по сайту
Формулы
Все задачи
Помощь
Контакты
Билеты
Задача 13040
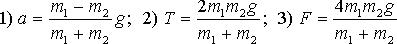
Простейшая машина Атвуда, применяемая для изучения законов равноускоренного движения, представляет собой два груза с не равными массами m
1
и m
2
(например m
1
> m
2
), которые подвешены на легкой нити, перекинутой через неподвижный блок. Считая нить и блок невесомыми и пренебрегая трением в оси блока, определите 1) ускорение грузов; 2) силу натяжения нити Т; 3) силу F, действующую на ось блока.
Макет решения задачи 13040
Ответ:
Формат файла с решением:
doc
Цена:
20 руб.
В корзину
Добавить
Правовая информация