Физика
0
Специальный поиск
Физика
Теория вероятностей и мат. статистика
Гидравлика
Теор. механика
Прикладн. механика
Химия
Электроника
Витамины для ума
Главная
Поиск по сайту
Формулы
Все задачи
Помощь
Контакты
Билеты
Задача 10657
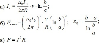
Имеется бесконечный прямой провод, по которому течет ток силы I
0
. На расстояниях a и b от него расположены два параллельных ему неизолированных провода, закороченных на одном конце сопротивлением R. Все три провода лежат в одной плоскости. По закороченным сопротивлением проводам скользит со скоростью v замыкающий их стержень 3—4. Определить: а) силу I и направление тока в контуре 1—2—3—4, б) силу F, необходимую, чтобы поддерживать постоянной скорость стержня 3—4, и расстояние х
0
от провода с током I
0
до точки, в которой нужно приложить эту силу, чтобы стержень двигался поступательно, в) мощность Р, затрачиваемую на перемещение стержня. Сопротивлением проводов, стержня и контактов в точках 3 и 4 пренебречь.
Макет решения задачи 10657
Ответ:
Формат файла с решением:
doc
Цена:
81 руб.
В корзину
Добавить
Правовая информация