Физика
0
Специальный поиск
Физика
Теория вероятностей и мат. статистика
Гидравлика
Теор. механика
Прикладн. механика
Химия
Электроника
Витамины для ума
Главная
Поиск по сайту
Формулы
Все задачи
Помощь
Контакты
Билеты
Задача 10614
Вычислить киломольные (килоатомные) C
v
и С
р
и удельные c
v
и c
p
теплоемкости для кислорода и аргона, принимая эти газы за идеальные.
Макет решения задачи 10614
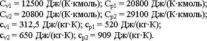
Ответ:
Формат файла с решением:
doc
Цена:
39 руб.
В корзину
Добавить
Правовая информация